FoXS Dock

Macromolecular Docking with SAXS Profile

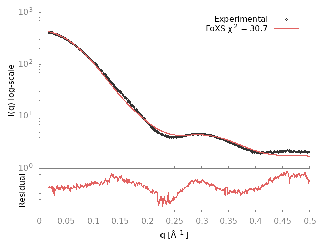
SAXS profile
docking_1173 Fit to experimental profile
Experimental profile fit file
χ2 = 30.7317 c1 = 1.02195 c2 = 0.681664

If you use FoXSDock (version main.73fcb34), please cite:

Schneidman-Duhovny D, Hammel M, Sali A. Macromolecular docking restrained by a small angle X-ray scattering profile. J Struct Biol. 2010 [ Abstract ]
Schneidman-Duhovny D, Hammel M, Tainer JA, and Sali A. FoXS, FoXSDock and MultiFoXS: Single-state and multi-state structural modeling of proteins and their complexes based on SAXS profiles. NAR 2016 [ FREE Full Text ]

Contact: